Comunicación

MELANOMA CUTÁNEO DE EXTREMIDADES INFERIORES: ¿IMPORTA LA LOCALIZACIÓN?

Autores:

Antonio Piñero Madrona1, Pablo Cerezuela Fuentes2, Gadalupe Ruiz Merino3, Enrique Martínez Barba4, Sebastián Ortiz Reina5, María José Martínez Ortiz6, Ángel López Ávila7, José Francisco Frías Iniesta8, Alice Vince9, JUAN CABEZAS HERRERA1

Afiliaciones:

(1) TERAPIAS MOLECULARES Y BIOMARCADORES DE TUMORES SÓLIDOS, IMIB-Arrixaca, España
(2) ONCOLOGÍA CLÍNICA Y TRASLACIONAL, IMIB-Arrixaca, España
(3) Department of Biostatistics. Fundación para la Formación e Investigación Sanitaria de la Región de Murcia, 30003, España (Región de Murcia)
(4) INMUNOLOGÍA E INMUNOTOLERANCIA EN TRASPLANTES Y ENFERMEDADES DE BASE INMUNOLÓGICA, IMIB-Arrixaca, España
(5) Department of Pathology. Complejo Hospitalario de Cartagena, 30202, España (Región de Murcia)
(6) Department of Medical Oncology. Complejo Hospitalario de Cartagena, 30202, España (Región de Murcia)
(7) Department of Dermatology. Complejo Hospitalario de Cartagena, 30202, España (Región de Murcia)
(8) Department of Dermatology. Hospital Clínico Universitario “Virgen de la Arrixaca”. Murcia, 30120, España (Región de Murcia)
(9) Department of Pharmacy. Complejo Hospitalario de Cartagena, 30202, España (Región de Murcia)

Comunicación:

Antecedentes:

El melanoma cutáneo es el tumor de la piel que tiene peor pronóstico y en las últimas décadas se ha producido un incremento tanto en sus tasas de incidencia como de mortalidad. Entre los diferentes factores pronósticos, la localización anatómica del tumor primario se ha mostrado como un factor independiente relevante en melanomas con el mismo estadio tumoral.

Métodos:

Se desarrolló un estudio observacional en una serie de pacientes con diagnóstico de melanoma cutáneo de miembros inferiores (n=221). Se incluyeron en el estudio pacientes con melanoma cutáneo de miembros inferiores en estadio clínico I y II sin detección clínica o radiológica de afectación de los ganglios linfáticos o metástasis. Se realizó un estudio descriptivo de las diferentes variables con proporciones y porcentajes en las cualitativas y medias con medidas de dispersión para las cuantitativas, tanto para la población global como por grupo de estudio. Se practicó un análisis bivariante de todas las variables respecto al grupo de localización dentro del miembro inferior para constatar la homogeneidad de los grupos. Se realizó un análisis de supervivencia global específica para melanoma (SGEM) y supervivencia libre de enfermedad específica para melanoma (SLEEM) mediante un análisis log-rank con curvas de Kaplan-Meier, así como una regresión de Cox para las diferentes variables, con cálculo de las OR y su intervalo de confianza. Se consideró significativo un valor de p<0,05.

Resultados:

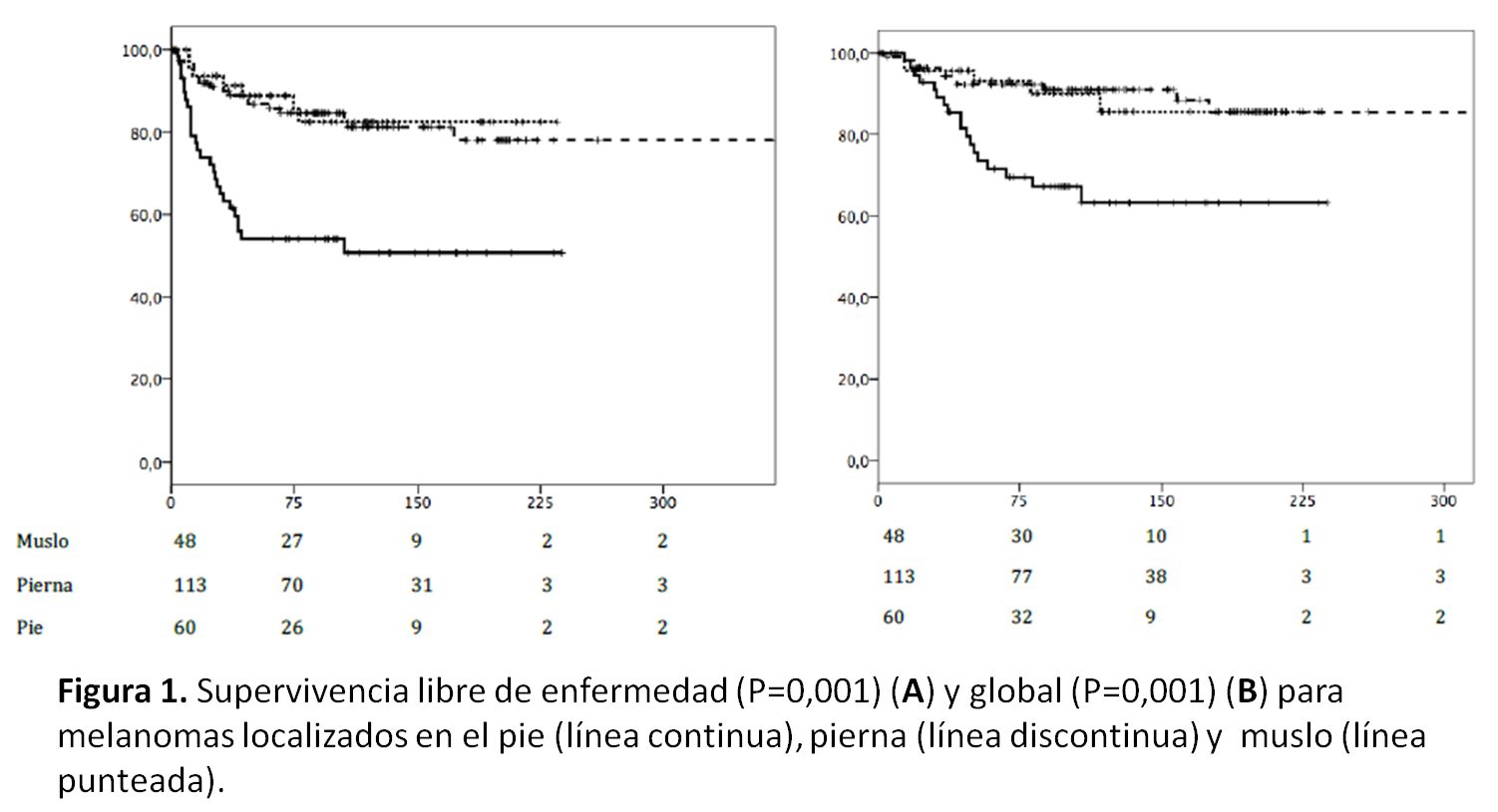
De los 221 casos, 48 casos fueron melanomas cutáneos proximales, 113 de localización media y 60 distales. Se encontraron diferencias significativas para los diferentes tipos histológicos, siendo el Melanoma Lentiginoso Acral más frecuente en el grupo distal y el melanoma de extensión superficial en el grupo de localización media, en comparación con los otros dos (p <0,0001). Para el resto de las variables histopatológicas se pudieron observar relaciones entre el tamaño y la profundidad de Breslow de las lesiones que fueron significativamente mayores para la mayoría de las lesiones distales (13,98 ± 10,02 mm - p = 0,036 - y 2,71 ± 2,13 mm - p < 0,0001 -, respectivamente), y la presencia de ulceración, que también se asoció con mayor frecuencia a lesiones distales (40,0%, p = 0,008). Se encontró mayor presencia de Invasión linfovascular y perineural en lesiones localizadas en el pie (p <0,0001). Se encontraron diferencias significativas tanto en la SLEEM (p <0,001) como en la SGEM (p <0,001) para las localizaciones más distales de pie y tobillo, que presentaron una menor SGEM (168,73 ± 13,32 meses) en comparación con localizaciones más proximales (210,78 ± 10,14 meses -muslo- y 327,85 ± 11,99 meses-pierna-) y una menor SLEEM (133,43 ± 14,61 meses-pie-) que las más proximales (201,22 ± 11,69 meses –muslo- y 301,17 ± 14,33 meses –pierna-). Las curvas de supervivencia se muestran en la Figura 1. Sólo la localización anatómica presenta significación estadística en la regresión de Cox y, por tanto, discrimina los casos con mayor riesgo de mortalidad y menor supervivencia libre de enfermedad entre los melanomas distales, principalmente el pie (peor pronóstico) en comparación con los melanomas más proximales.

Conclusiones:

Los resultados obtenidos confirman la hipótesis de que la localización más distal del melanoma cutáneo de miembros inferiores en estadios clínicos I y II es un factor pronóstico relevante.


Image 1 Image 2

Dirección

Campus de Ciencias de la Salud
Carretera Buenavista s/n, 30120 El Palmar
Murcia, España

Ver en OpenStreetMap

Ver en Google Maps

Teléfonos

+34 868885229
+34 868885239
+34 868885249